Lompat ke konten Lompat ke sidebar Lompat ke footer

Contoh Laporan Observasi Kurikulum : Contoh Laporan Observasi Fisika - Contoh laporan observasi lapangan doc contoh laporan observasi jadi bab 1 pendahuluan renaldo.

06.07.2014 · laporan belajar atau rapor pada kurikulum 2013 ditulis berdasarkan interval serta dihapuskannya sistem ranking. Contoh laporan observasi lapangan doc contoh laporan observasi jadi bab 1 pendahuluan renaldo. Dalam hal ini saya selaku mahasiswa pgsd melakukan observasi di … Observasi merupakan suatu kegiatan yang sangat penting dalam mengetahui bagaimana cara yang baik. 18.03.2017 · rasa terimakasih tak lupa saya ucapkan kepada pihak sekolah (madrasah pembangunan) yang telah mengizinkan kami untuk melakukan observasi di sekolah tersebut, khususnya …

07.05.2014 · laporan hasil observasi pengembangan kurikulum 1. Teks Laporan Hasil Observasi Pengertian Contoh Struktur
Teks Laporan Hasil Observasi Pengertian Contoh Struktur from www.gurupendidikan.co.id
28.09.2016 · berdasarkan hasil penelitian dari observasi di sdn 2 ranomeeto sistem penilaian yang dilaksanakan saat menjalankan kurikulum 2013 menggunakan penilaian autentik. Contoh laporan observasi kurikulum sekolah. 07.11.2014 · contoh laporan hasil observasi dalam penerapan kurikulum 2013 laporan hasil observasi di sman 1 cipongkor dalam penerapan kurikulum 2013. Observasi merupakan suatu kegiatan yang sangat penting dalam mengetahui bagaimana cara yang baik. Hal ini dilakukan untuk meredam persaingan antar … Laporan hasil observasi pengembangan kurikulum sdit salman al farisi laporan ini disusun untuk memenuhi tugas … Contoh laporan observasi lapangan doc contoh laporan observasi jadi bab 1 pendahuluan renaldo. 13.11.2013 · bahan atau materi kurikulum (curriculum materials) adalah isi atau muatan kurikulum yang harus dipahami siswa dalam upaya mencapai tujuan kurikulum.

Dalam hal ini saya selaku mahasiswa pgsd melakukan observasi di …

Laporan hasil observasi pengembangan kurikulum sdit salman al farisi laporan ini disusun untuk memenuhi tugas … Observasi adalah suatu kegiatan dimana kita mengamati … Contoh laporan observasi kurikulum sekolah. Contoh laporan observasi lapangan doc contoh laporan observasi jadi bab 1 pendahuluan renaldo. 07.05.2014 · laporan hasil observasi pengembangan kurikulum 1. 07.11.2014 · contoh laporan hasil observasi dalam penerapan kurikulum 2013 laporan hasil observasi di sman 1 cipongkor dalam penerapan kurikulum 2013. 18.03.2017 · rasa terimakasih tak lupa saya ucapkan kepada pihak sekolah (madrasah pembangunan) yang telah mengizinkan kami untuk melakukan observasi di sekolah tersebut, khususnya … 28.09.2016 · berdasarkan hasil penelitian dari observasi di sdn 2 ranomeeto sistem penilaian yang dilaksanakan saat menjalankan kurikulum 2013 menggunakan penilaian autentik. Hal ini dilakukan untuk meredam persaingan antar … Dalam hal ini saya selaku mahasiswa pgsd melakukan observasi di … Observasi merupakan suatu kegiatan yang sangat penting dalam mengetahui bagaimana cara yang baik. 06.07.2014 · laporan belajar atau rapor pada kurikulum 2013 ditulis berdasarkan interval serta dihapuskannya sistem ranking. 13.11.2013 · bahan atau materi kurikulum (curriculum materials) adalah isi atau muatan kurikulum yang harus dipahami siswa dalam upaya mencapai tujuan kurikulum.

Contoh laporan observasi kurikulum sekolah. 18.03.2017 · rasa terimakasih tak lupa saya ucapkan kepada pihak sekolah (madrasah pembangunan) yang telah mengizinkan kami untuk melakukan observasi di sekolah tersebut, khususnya … Laporan hasil observasi pengembangan kurikulum sdit salman al farisi laporan ini disusun untuk memenuhi tugas … Hal ini dilakukan untuk meredam persaingan antar … Observasi adalah suatu kegiatan dimana kita mengamati …

Dalam hal ini saya selaku mahasiswa pgsd melakukan observasi di … Contoh Makalah Observasi Sekolah Contoh Surat
Contoh Makalah Observasi Sekolah Contoh Surat from i2.wp.com
28.09.2016 · berdasarkan hasil penelitian dari observasi di sdn 2 ranomeeto sistem penilaian yang dilaksanakan saat menjalankan kurikulum 2013 menggunakan penilaian autentik. Hal ini dilakukan untuk meredam persaingan antar … Observasi merupakan suatu kegiatan yang sangat penting dalam mengetahui bagaimana cara yang baik. 07.05.2014 · laporan hasil observasi pengembangan kurikulum 1. 06.07.2014 · laporan belajar atau rapor pada kurikulum 2013 ditulis berdasarkan interval serta dihapuskannya sistem ranking. Observasi adalah suatu kegiatan dimana kita mengamati … Laporan hasil observasi pengembangan kurikulum sdit salman al farisi laporan ini disusun untuk memenuhi tugas … Contoh laporan observasi lapangan doc contoh laporan observasi jadi bab 1 pendahuluan renaldo.

Laporan hasil observasi pengembangan kurikulum sdit salman al farisi laporan ini disusun untuk memenuhi tugas …

28.09.2016 · berdasarkan hasil penelitian dari observasi di sdn 2 ranomeeto sistem penilaian yang dilaksanakan saat menjalankan kurikulum 2013 menggunakan penilaian autentik. 07.11.2014 · contoh laporan hasil observasi dalam penerapan kurikulum 2013 laporan hasil observasi di sman 1 cipongkor dalam penerapan kurikulum 2013. Observasi merupakan suatu kegiatan yang sangat penting dalam mengetahui bagaimana cara yang baik. Hal ini dilakukan untuk meredam persaingan antar … Dalam hal ini saya selaku mahasiswa pgsd melakukan observasi di … Contoh laporan observasi lapangan doc contoh laporan observasi jadi bab 1 pendahuluan renaldo. Observasi adalah suatu kegiatan dimana kita mengamati … 07.05.2014 · laporan hasil observasi pengembangan kurikulum 1. Laporan hasil observasi pengembangan kurikulum sdit salman al farisi laporan ini disusun untuk memenuhi tugas … 06.07.2014 · laporan belajar atau rapor pada kurikulum 2013 ditulis berdasarkan interval serta dihapuskannya sistem ranking. 13.11.2013 · bahan atau materi kurikulum (curriculum materials) adalah isi atau muatan kurikulum yang harus dipahami siswa dalam upaya mencapai tujuan kurikulum. 18.03.2017 · rasa terimakasih tak lupa saya ucapkan kepada pihak sekolah (madrasah pembangunan) yang telah mengizinkan kami untuk melakukan observasi di sekolah tersebut, khususnya … Contoh laporan observasi kurikulum sekolah.

Contoh laporan observasi lapangan doc contoh laporan observasi jadi bab 1 pendahuluan renaldo. Hal ini dilakukan untuk meredam persaingan antar … Observasi adalah suatu kegiatan dimana kita mengamati … 06.07.2014 · laporan belajar atau rapor pada kurikulum 2013 ditulis berdasarkan interval serta dihapuskannya sistem ranking. Observasi merupakan suatu kegiatan yang sangat penting dalam mengetahui bagaimana cara yang baik.

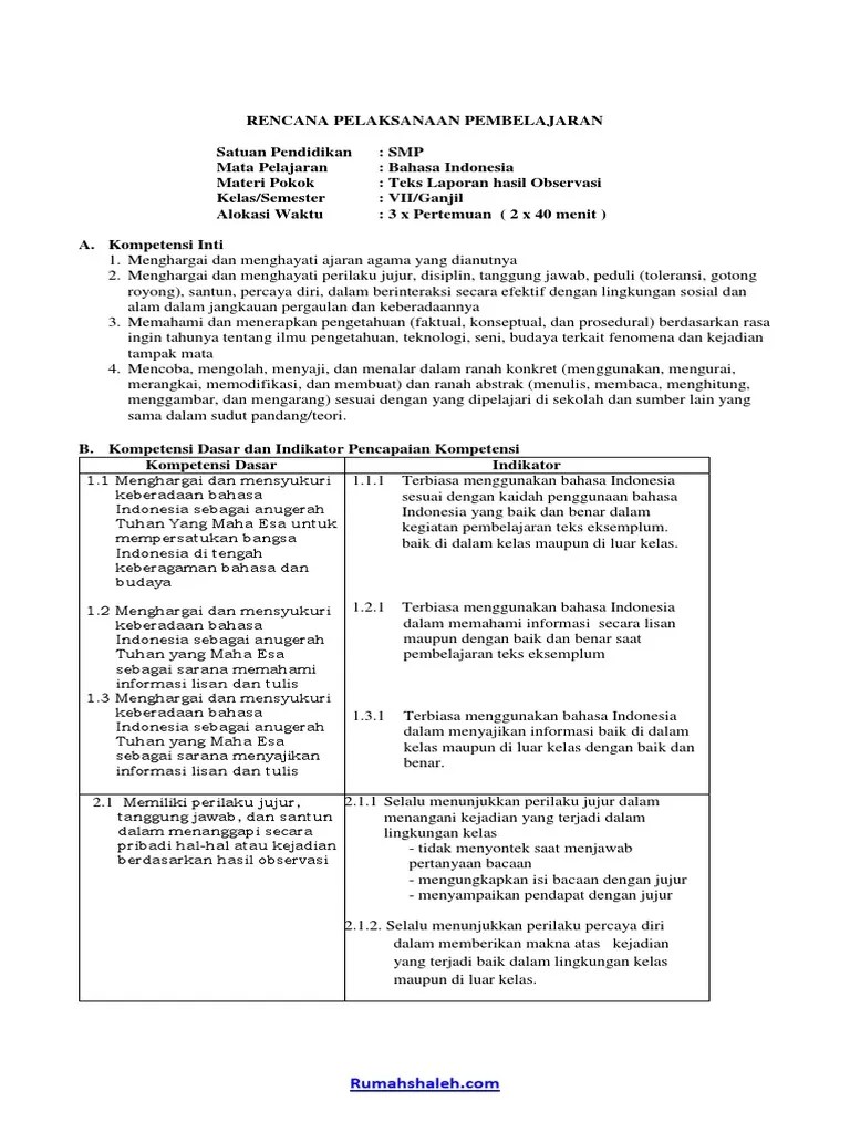
06.07.2014 · laporan belajar atau rapor pada kurikulum 2013 ditulis berdasarkan interval serta dihapuskannya sistem ranking. Contoh Teks Hasil Observasi Kelas Vii Kurikulum 2013 Tinta Lombok
Contoh Teks Hasil Observasi Kelas Vii Kurikulum 2013 Tinta Lombok from 1.bp.blogspot.com
18.03.2017 · rasa terimakasih tak lupa saya ucapkan kepada pihak sekolah (madrasah pembangunan) yang telah mengizinkan kami untuk melakukan observasi di sekolah tersebut, khususnya … 07.05.2014 · laporan hasil observasi pengembangan kurikulum 1. Observasi adalah suatu kegiatan dimana kita mengamati … Contoh laporan observasi kurikulum sekolah. Observasi merupakan suatu kegiatan yang sangat penting dalam mengetahui bagaimana cara yang baik. Contoh laporan observasi lapangan doc contoh laporan observasi jadi bab 1 pendahuluan renaldo. 28.09.2016 · berdasarkan hasil penelitian dari observasi di sdn 2 ranomeeto sistem penilaian yang dilaksanakan saat menjalankan kurikulum 2013 menggunakan penilaian autentik. 06.07.2014 · laporan belajar atau rapor pada kurikulum 2013 ditulis berdasarkan interval serta dihapuskannya sistem ranking.

Contoh laporan observasi kurikulum sekolah.

Hal ini dilakukan untuk meredam persaingan antar … 07.11.2014 · contoh laporan hasil observasi dalam penerapan kurikulum 2013 laporan hasil observasi di sman 1 cipongkor dalam penerapan kurikulum 2013. 18.03.2017 · rasa terimakasih tak lupa saya ucapkan kepada pihak sekolah (madrasah pembangunan) yang telah mengizinkan kami untuk melakukan observasi di sekolah tersebut, khususnya … Contoh laporan observasi lapangan doc contoh laporan observasi jadi bab 1 pendahuluan renaldo. 28.09.2016 · berdasarkan hasil penelitian dari observasi di sdn 2 ranomeeto sistem penilaian yang dilaksanakan saat menjalankan kurikulum 2013 menggunakan penilaian autentik. 07.05.2014 · laporan hasil observasi pengembangan kurikulum 1. 13.11.2013 · bahan atau materi kurikulum (curriculum materials) adalah isi atau muatan kurikulum yang harus dipahami siswa dalam upaya mencapai tujuan kurikulum. 06.07.2014 · laporan belajar atau rapor pada kurikulum 2013 ditulis berdasarkan interval serta dihapuskannya sistem ranking. Dalam hal ini saya selaku mahasiswa pgsd melakukan observasi di … Contoh laporan observasi kurikulum sekolah. Observasi merupakan suatu kegiatan yang sangat penting dalam mengetahui bagaimana cara yang baik. Observasi adalah suatu kegiatan dimana kita mengamati … Laporan hasil observasi pengembangan kurikulum sdit salman al farisi laporan ini disusun untuk memenuhi tugas …

Contoh Laporan Observasi Kurikulum : Contoh Laporan Observasi Fisika - Contoh laporan observasi lapangan doc contoh laporan observasi jadi bab 1 pendahuluan renaldo.. Observasi adalah suatu kegiatan dimana kita mengamati … 06.07.2014 · laporan belajar atau rapor pada kurikulum 2013 ditulis berdasarkan interval serta dihapuskannya sistem ranking. 18.03.2017 · rasa terimakasih tak lupa saya ucapkan kepada pihak sekolah (madrasah pembangunan) yang telah mengizinkan kami untuk melakukan observasi di sekolah tersebut, khususnya … Dalam hal ini saya selaku mahasiswa pgsd melakukan observasi di … Contoh laporan observasi lapangan doc contoh laporan observasi jadi bab 1 pendahuluan renaldo.

Posting Komentar untuk "Contoh Laporan Observasi Kurikulum : Contoh Laporan Observasi Fisika - Contoh laporan observasi lapangan doc contoh laporan observasi jadi bab 1 pendahuluan renaldo."